SECTION B
Factors From Differential Elements to Finite Areas


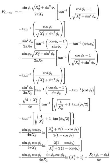
B-29d: Planar element d1 on interior cylinder surface to finite segment A2 on cylinder end.

 Reference: Revanna and Katte, 2022

 

Definitions: X2 = L1/L2

Governing equation:

 

Diagram

Description automatically generated

 

To download a copy of this equation in MS Word 97 Format, click HERE.