SECTION B
Factors From Differential Elements to Finite Areas
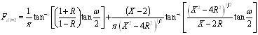
B-30: Differential element on annulus between coaxial cylinders to interior of outer cylinder.
Reference: Minning, 1979
Definitions: R=r/r2; H=h/r2; X=1+R2+H2; ω=cos-1(r1/r)+cos-1(r1/r2)
Governing equation:
To download a copy of this equation in MS Word 97 Format, click HERE.