>

SECTION B
Factors From Differential Elements to Finite Areas


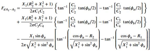
B-29c: Planar element d1 on interior cylinder surface to finite segment A2 on cylinder end.

 Reference: Revanna and Katte, 2022

Diagram, engineering drawing

Description automatically generated

Definitions: 𝑋1=𝐿1𝑅, R1=a1𝑅, R2=a2𝑅, 𝑋4=𝐿4𝑅, 𝐶1 = (𝑋4𝑋1)2 and 𝐶2 = (𝑋3𝑋1)2

Governing equation:

Text

Description automatically generated

Text

Description automatically generated with low confidence

 

 

To download a copy of this equation in MS Word 97 Format, click HERE.