SECTION C
      Factors From Finite Areas to Finite Areas


      C-153: Ring on hemispherical surface to ring on the base.

       

        Reference: Buschman and Pittman

        Definitions:

        C1 = c1/a; R1 = r1/a
        C2 = c2/a; R2 = r2/a

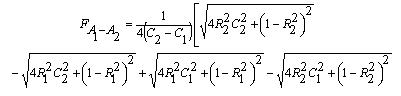
        Governing Equation:

       

        To download a copy of this equation in MS Word 97 Format, click HERE.