SECTION C
      Factors From Finite Areas to Finite Areas


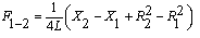
      C-152: Section of hemisphere to annular ring in base.

       

        Reference: Buschman and Pittman

        Definitions:

        L = l/a; R = r/a
        X = [4R2L2 + (1 - R2)2]1/2

        Governing Equation:

       

        To download a copy of this equation in MS Word 97 Format, click HERE.