SECTION C
      Factors From Finite Areas to Finite Areas


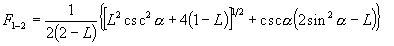
      C-112: Frustum of right circular cone to entire base. (See also C-111)

         

        Reference: Buraczewski; Bien; Buschman and Pittman

        Definitions:
         
        L = l/h

        Governing Equation:

        To download a copy of this equation in MS Word 97 Format, click HERE.