SECTION C
      Factors From Finite Areas to Finite Areas


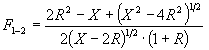
      C-111: Interior of frustum of right circular cone to base. (See also C-112)

       

        Reference: Buraczewski; Bien; Buschman and Pittman

        Definitions:

        H = h/r3; R = r/r3;
        X = (1 + R2+H2)

        Governing Equation:

       

        To download a copy of this equation in MS Word 97 Format, click HERE.