SECTION B
Factors From Differential Elements to Finite Areas
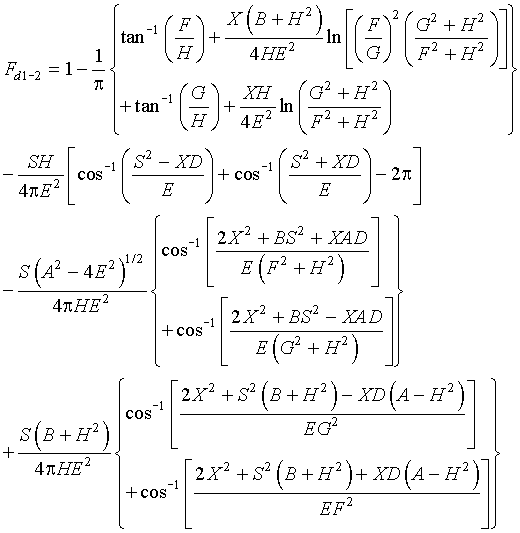
B-81: Vertical differential strip on plane contained in cylinder with axis parallel to strip. Strip and cylinder of equal length. Factor from strip to entire inner surface of cylinder.
Reference: Leuenberger and Person, 1956
Definitions:
S=s/r H=h/r X=x/r A=1+H2+S2+X2 B=1-H2-S2-X2 C=(1+S2)1/2 D=(1-S2)1/2 E=(X2+S2)1/2 F=D+X G=D-X Governing equation:
To download a copy of this equation in MS Word 97 Format, click HERE.