SECTION B
Factors From Differential Elements to Finite Areas
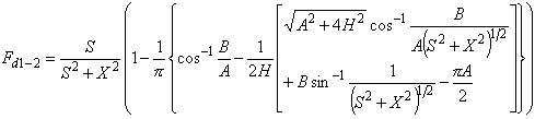
B-80: Strip element on plane to exterior of right circular cylinder of finite length. Strip and cylinder are parallel, and of equal length. Plane does not intersect cylinder.
Reference: Leuenberger and Person, 1956; Mirhosseini and Saboondi, 2011
Definitions: S=s/r; X=x/r; H=h/r; A=H2+S2+X2-1; B=H2-S2-X2+1
Governing equation:
To download a copy of this equation in MS Word 97 Format, click HERE.