SECTION A
      Factors Between Differential Elements


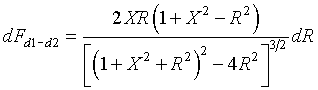
      A-18: Circumferential ring element on interior of right circular cylinder to coaxial ring element on base. (Corrected from original reference.)

       

        Reference: Sparrow, Albers and Eckert, 1962.

        Definitions: X=x/r1; R=r2/r1

        Governing equation:

        To download a copy of this equation in MS Word 97 Format, click HERE.