SECTION A
      Factors Between Differential Elements


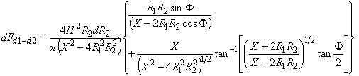
      A-17: Differential ring element on circular disk to opposed coaxial ring element on coaxial disk separated by coaxial cylinder.

       

        Reference: Masuda, 1972.

        Definitions: R1=r1/r; R2=r2/r; H=h/r; X=R12+R22+H2; F= cos-1(1/R1) + cos-1(1/R2)

        Governing equation:

        To download a copy of this equation in MS Word 97 Format, click HERE.