SECTION C
      Factors From Finite Areas to Finite Areas


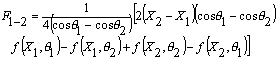
      C-144: Ring area on inside of sphere to coaxial ring area on inside of attached frustum.

       

        Reference: Stevenson and Grafton

        Definitions:

        Governing Equation:

       

        To download a copy of this equation in MS Word 97 Format, click HERE.