SECTION C
      Factors From Finite Areas to Finite Areas


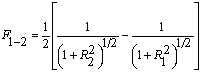
      C-131: Sphere to interior surface of coaxial right circular cylinder; sphere outside end of cylinder, and sphere radius less than cylinder radius (r1 < r2).

         

        Reference: Feingold and Gupta

        Definitions:
         
        R1 = r2/a1
        R2 = r2/a2

        Governing Equation:

        To download a copy of this equation in MS Word 97 Format, click HERE.