SECTION C
      Factors From Finite Areas to Finite Areas


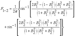
      C-121: Sphere to rectangle perpendicular to line through sphere axis.

       

        Reference: Feingold and Gupta

        Definitions:

        B1 = b1/a
        B2 = b2/a

        Governing Equation:

       

        To download a copy of this equation in MS Word 97 Format, click HERE.