>

SECTION B
Factors From Differential Elements to Finite Areas


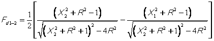
B-94: Ring element on base of right circular cylinder to finite circumferential ring on interior of cylinder.

 

Reference: Configuration factor algebra using B-22

Definitions: X1=x1/r2; X2=x2/r2; R=r1/r2

Governing equation:

To download a copy of this equation in MS Word 97 Format, click HERE.