SECTION B
Factors From Differential Elements to Finite Areas
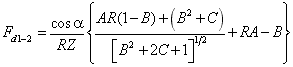
B-63: Element on interior of right circular cone to coaxial disk on base; A > 1.
Reference: Buschmann and Pittman, 1961
Definitions: R=r1/r2; Z=z/r2; A=R+Ztan(α); B = (Z2 + R2); C = (Z2 - R2)
Governing equation:
To download a copy of this equation in MS Word 97 Format, click HERE.