SECTION B
Factors From Differential Elements to Finite Areas
B-61: Element on surface of cylinder at longitude α to sphere; axis of sphere bisects and is normal to cylinder axis.
Reference: Juul, 1979
Definitions:
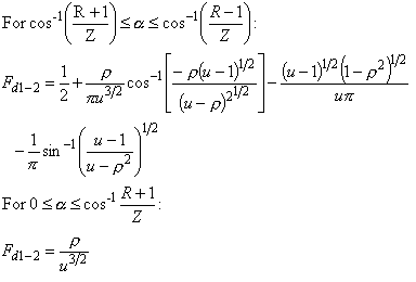
H=h/r2 R=r1/r2 S=s/r2 Z=1+S+R(1-cosα) u=Z2+H2+R2(1-cos2α) r=Zcosα-Rsin2α Governing equation:
To download a copy of this equation in MS Word 97 Format, click HERE.