>

SECTION B
Factors From Differential Elements to Finite Areas


B-29a: Planar element on interior cylinder surface to finite segment.

 

 Reference: Revanna and Katte, 2022

Diagram, engineering drawing

Description automatically generated

 

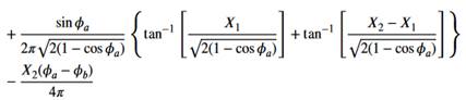
Definitions: 𝑋1=𝐿1𝑅, 𝑋3=𝐿3𝑅, 𝑋4=𝐿4𝑅, 𝐶1 = (𝑋4𝑋1)2 and 𝐶2 = (𝑋3𝑋1)2

Governing equation:

Diagram

Description automatically generated with medium confidence>
Graphical user interface, application, Word

Description automatically generated

 

To download a copy of this equation in MS Word 97 Format, click HERE.