SECTION B
Factors From Differential Elements to Finite Areas
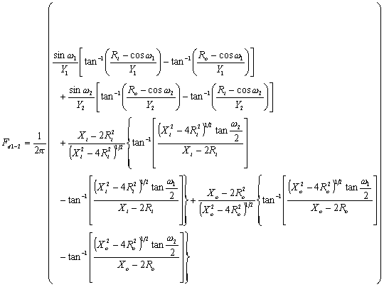
B-24: Plane element to ring sector on circular disk parallel to element.
Reference: Minning, 1976
Definitions: H=h/r; R=r/r; X=R2+H2+1; Y=[H2+sin2ω]1/2; ω=cos -1[cos(θ-β)]
Governing equation:
To download a copy of this equation in MS Word 97 Format, click HERE.