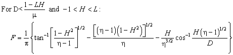
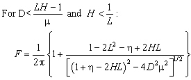
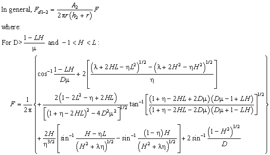
SECTION B Factors From Differential Elements to Finite Areas B-105: Differential Ring Sector to Spherical Segment. Reference: Mahbod and Adams Definitions: Governing equation: To download a copy of this equation in MS Word 97 Format, click HERE.
Definitions:
Governing equation:
To download a copy of this equation in MS Word 97 Format, click HERE.