SECTION A
      Factors Between Differential Elements


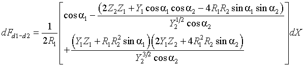
      A-25: Coaxial ring element on interior of right circular cone to coaxial ring element on the interior of a butted second cone.

         
        Reference: Sydnor, 1970.  (See also Eddy and Nielson and Modest (1988))
         
         
        Definitions: X=x/h; R=r/h; Y1=1+R12+R22; Y2=Y12-4R12R22; Z=cosα-R2sinα

        Governing equation:

        To download a copy of this equation in MS Word 97 Format, click HERE.